损失函数用来评价模型的预测值和真实值不一样的程度,损失函数越好,通常模型的性能越好。不同的模型用的损失函数一般也不一样。
损失函数分为经验风险损失函数和结构风险损失函数。经验风险损失函数指预测结果和实际结果的差别,结构风险损失函数是指经验风险损失函数加上正则项。
常见的损失函数以及其优缺点如下:
0-1损失是指预测值和目标值不相等为1, 否则为0:
![[公式]](/images/download/1586746487301_62989.png)
特点:
(1)0-1损失函数直接对应分类判断错误的个数,但是它是一个非凸函数,不太适用.
(2)感知机就是用的这种损失函数。但是相等这个条件太过严格,因此可以放宽条件,即满足
时认为相等,
![[公式]](/images/download/1586746487808_40512.png)
2. 绝对值损失函数
绝对值损失函数是计算预测值与目标值的差的绝对值:
![[公式]](/images/download/1586746487949_92309.png)
3. log对数损失函数
log对数损失函数的标准形式如下:
![[公式]](/images/download/1586746488043_20198.png)
特点:
(1) log对数损失函数能非常好的表征概率分布,在很多场景尤其是多分类,如果需要知道结果属于每个类别的置信度,那它非常适合。
(2)健壮性不强,相比于hinge loss对噪声更敏感。
(3)逻辑回归的损失函数就是log对数损失函数。
4. 平方损失函数
平方损失函数标准形式如下:
![[公式]](/images/download/1586746488140_98404.png)
特点:
(1)经常应用与回归问题
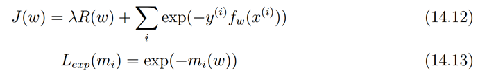
5. 指数损失函数(exponential loss)
指数损失函数的标准形式如下:
![[公式]](/images/download/1586746488249_81203.png)
特点:
(1)对离群点、噪声非常敏感。经常用在AdaBoost算法中。
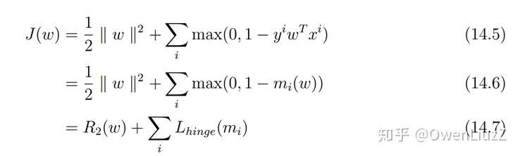
6. Hinge 损失函数
Hinge损失函数标准形式如下:
![[公式]](/images/download/1586746488348_21896.png)
特点:
(1)hinge损失函数表示如果被分类正确,损失为0,否则损失就为
。SVM就是使用这个损失函数。
(2)一般的
是预测值,在-1到1之间,
是目标值(-1或1)。其含义是,
的值在-1和+1之间就可以了,并不鼓励
,即并不鼓励分类器过度自信,让某个正确分类的样本距离分割线超过1并不会有任何奖励,从而使分类器可以更专注于整体的误差。
(3) 健壮性相对较高,对异常点、噪声不敏感,但它没太好的概率解释。
7. 感知损失(perceptron loss)函数
感知损失函数的标准形式如下:
![[公式]](/images/download/1586746488824_12254.png)
特点:
(1)是Hinge损失函数的一个变种,Hinge loss对判定边界附近的点(正确端)惩罚力度很高。而perceptron loss只要样本的判定类别正确的话,它就满意,不管其判定边界的距离。它比Hinge loss简单,因为不是max-margin boundary,所以模型的泛化能力没 hinge loss强。
8. 交叉熵损失函数 (Cross-entropy loss function)
交叉熵损失函数的标准形式如下:
![[公式]](/images/download/1586746488922_95884.png)
注意公式中
表示样本,
表示实际的标签,
表示预测的输出,
表示样本总数量。
特点:
(1)本质上也是一种对数似然函数,可用于二分类和多分类任务中。
二分类问题中的loss函数(输入数据是softmax或者sigmoid函数的输出):
![[公式]](/images/download/1586746489218_63784.png)
多分类问题中的loss函数(输入数据是softmax或者sigmoid函数的输出):
![[公式]](/images/download/1586746489327_69110.png)
(2)当使用sigmoid作为激活函数的时候,常用交叉熵损失函数而不用均方误差损失函数,因为它可以完美解决平方损失函数权重更新过慢的问题,具有“误差大的时候,权重更新快;误差小的时候,权重更新慢”的良好性质。
最后奉献上交叉熵损失函数的实现代码:cross_entropy.
这里需要更正一点,对数损失函数和交叉熵损失函数应该是等价的!!!(此处感谢
的指正,下面说明也是由他提供)下面来具体说明:

相关高频问题:
1.交叉熵函数与最大似然函数的联系和区别?
区别:交叉熵函数使用来描述模型预测值和真实值的差距大小,越大代表越不相近;似然函数的本质就是衡量在某个参数下,整体的估计和真实的情况一样的概率,越大代表越相近。
联系:交叉熵函数可以由最大似然函数在伯努利分布的条件下推导出来,或者说最小化交叉熵函数的本质就是对数似然函数的最大化。
怎么推导的呢?我们具体来看一下。
设一个随机变量
满足伯努利分布,
![[公式]](/images/download/1586746489584_17403.png)
则
的概率密度函数为:
![[公式]](/images/download/1586746489683_38926.png)
因为我们只有一组采样数据
,我们可以统计得到
和
的值,但是
的概率是未知的,接下来我们就用极大似然估计的方法来估计这个
值。
对于采样数据
,其对数似然函数为:
![[公式]](/images/download/1586746490425_90450.png)
可以看到上式和交叉熵函数的形式几乎相同,极大似然估计就是要求这个式子的最大值。而由于上面函数的值总是小于0,一般像神经网络等对于损失函数会用最小化的方法进行优化,所以一般会在前面加一个负号,得到交叉熵函数(或交叉熵损失函数):
![[公式]](/images/download/1586746490551_44677.png)
这个式子揭示了交叉熵函数与极大似然估计的联系,最小化交叉熵函数的本质就是对数似然函数的最大化。
现在我们可以用求导得到极大值点的方法来求其极大似然估计,首先将对数似然函数对
进行求导,并令导数为0,得到
![[公式]](/images/download/1586746490728_67449.png)
消去分母,得:
![[公式]](/images/download/1586746490825_56356.png)
所以:
![[公式]](/images/download/1586746490889_78857.png)
这就是伯努利分布下最大似然估计求出的概率
。
2. 在用sigmoid作为激活函数的时候,为什么要用交叉熵损失函数,而不用均方误差损失函数?
其实这个问题求个导,分析一下两个误差函数的参数更新过程就会发现原因了。
对于均方误差损失函数,常常定义为:
![[公式]](/images/download/1586746491012_96087.png)
其中
是我们期望的输出,
为神经元的实际输出(
)。在训练神经网络的时候我们使用梯度下降的方法来更新
和
,因此需要计算代价函数对
和
的导数:
![[公式]](/images/download/1586746491638_49357.png)
然后更新参数
和
:
![[公式]](/images/download/1586746491910_17927.png)
因为sigmoid的性质,导致
在
取大部分值时会很小(如下图标出来的两端,几乎接近于平坦),这样会使得
很小,导致参数
和
更新非常慢。

那么为什么交叉熵损失函数就会比较好了呢?同样的对于交叉熵损失函数,计算一下参数更新的梯度公式就会发现原因。交叉熵损失函数一般定义为:
![[公式]](/images/download/1586746492691_96588.png)
其中
是我们期望的输出,
为神经元的实际输出(
)。同样可以看看它的导数:
![[公式]](/images/download/1586746492993_89943.png)
另外,
![[公式]](/images/download/1586746493126_53809.png)
所以有:
![[公式]](/images/download/1586746493613_70618.png)
![[公式]](/images/download/1586746493710_75363.png)
所以参数更新公式为:
![[公式]](/images/download/1586746493807_41221.png)
可以看到参数更新公式中没有
这一项,权重的更新受
影响,受到误差的影响,所以当误差大的时候,权重更新快;当误差小的时候,权重更新慢。这是一个很好的性质。
所以当使用sigmoid作为激活函数的时候,常用交叉熵损失函数而不用均方误差损失函数。
PS:这里注意下regulation和regularization term为两种不一样的范畴,具体来说regulation包含增加regularization term这种方法
![[公式]](/images/download/1586746494042_45202.png)
1.1 Gold Standard Loss:
用来记录分类错误的次数:m为predition,若m<0,则分类错误,反之,分类正确
![[公式]](/images/download/1586746494130_67286.png)
1.2 Hinge Loss:
![[公式]](/images/download/1586746494192_77113.png)
注意:这里的y分类器决策函数的“原始”输出,而不是预测的类别标签。例如,在线性SVM中,y=wx+b,(w,b)是分类超平面的参数,x是要分类的点。可以看到,当t和y有相同的符号的时候(这意味着y的预测是正确的)并且
,hinge loss的结果为L(y)=0,但是当出现错误的分类是,hinge loss的L(y)与y呈线性关系(一个线性误差)。

1.3 Log Loss:
在逻辑回归的推导中,它假设样本服从伯努利分布(0-1分布)然,后求得满足该分布的似然函数,接着取对数求极值等等。而逻辑回归并没有求似然函数的极值,而是把极大化当做是一种思想,进而推导出它的经验风险函数为: 最小化负的似然函数
。从损失函数的视角来看,它就成了log损失函数。
其定义式:
![[公式]](/images/download/1586746494413_92498.png)
然后我们可以得出其loss function:
![[公式]](/images/download/1586746494511_68571.png)
然后我们自然最大化其最大似然函数(log likelihood function):
![[公式]](/images/download/1586746494626_62516.png)
而这个恰恰就是最小化cross entropy。
至此我们顺便介绍下cross entropy:
熵(entropy)的概念来自物理中的热力学,表示热力学系统中的无序程度,我们说的熵是信息论中的熵,表示对不确定性的测量,熵越高,能传输的信息越多,熵越少,传输的信息越少。举个例子说,当你站在一条公路旁边,看着车流来来往往,然后,你想告诉你的朋友每个车型号,但是只有一个二进制的信道,仅仅可以传输0,1序列,然后这个通讯相当的昂贵,十元1bit。你需要很多个二进制序列来表示每一个车型号。那么你该怎么来编码这些车的型号呢?会使用相同长度的bit来表示丰田Camry和奥迪Q7么? 当然不会了,因为你知道丰田Camry比奥迪Q7普遍多了,所以你会用更少的bit来编码丰田。换成数学的角度来看,把随机过的一辆车辆品牌是丰田Camry还是奥迪Q7看成随机事件,用随机变量X表示,所以我们在做的就是用X的分布来减少我们发送的bit的平均长度。也就是我们现在有了观测到的概率分布y,y_i = P(X=x_i)。我们要使用平均最小的bit,所以我们应该为x_i 分配log(1/y_i) 个比特。对所有的x_i 我们都有一个对应的最小需要分配的bit长度,那么我们对这个log(1/y_i)求期望也就得到了X的熵的定义了:


Cross entropy:
假如说我们用这个分布来作为我们来对事件编码的一个工具,熵就衡量了我们用这个正确的分布y来对事件编码所能用的最小的bit 长度,我们不能用更短的bit来编码这些事件或者符号了。相对的,交叉熵是我们要对y这个分布去编码,但是我们用了一些模型估计分布y`。这里的话通过y`这个分布我们得到的关于x_i的最小编码长度就变成了log(1/y`_i),但是呢,我们的期望仍是关于真是分布y的。所以交叉熵的定义就变成了:

交叉熵是大于等于熵的,因为我们使用了错误的分布y`会带来更多的bit使用。当y和y`相等的时候,交叉熵就等于熵了。
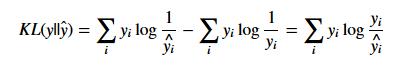
KL 松散度(KL Divergence):
KL松散度和交叉熵的区别比较小,KL松散度又叫做相对熵,从定义很好看出区别:

这个意思就是说我们要编码一个服从y分布的随机变量,假设我们使用了一些数据估计出来这个随机变量的分布是y`,那么我们需要用比真实的最小bit多多少来编码这个随机变量。这个值是大于等于0的,并且当y和y`相等的时候才为0。注意这里对交叉熵求最小和对KL松散度求最小是一样的。也就是我们要调整参数使得交叉熵和熵更接近,KL松散度越接近0,也就是y`越接近y。
1.4 squared loss:
很简单了,就是prediction与label差值的平方求和:

1.5 exponential loss:
指数误差通常用在boosting中,指数误差始终> 0,但是确保越接近正确的结果误差越小,反之越大。

1.6 regulation term:
L1正则化和L2正则化可以看做是损失函数的惩罚项。所谓『惩罚』是指对损失函数中的某些参数做一些限制。对于线性回归模型,使用L1正则化的模型建叫做Lasso回归,使用L2正则化的模型叫做Ridge回归(岭回归)。
![[公式]](/images/download/1586746495064_56194.png)
![[公式]](/images/download/1586746495133_91948.png)
一般都会在正则化项之前添加一个系数,Python中用α表示,一些文章也用λ表示。
上面提到L1正则化有助于生成一个稀疏权值矩阵,进而可以用于特征选择。为什么要生成一个稀疏矩阵?
稀疏矩阵指的是很多元素为0,只有少数元素是非零值的矩阵,即得到的线性回归模型的大部分系数都是0. 通常机器学习中特征数量很多,例如文本处理时,如果将一个词组(term)作为一个特征,那么特征数量会达到上万个(bigram)。在预测或分类时,那么多特征显然难以选择,但是如果代入这些特征得到的模型是一个稀疏模型,表示只有少数特征对这个模型有贡献,绝大部分特征是没有贡献的,或者贡献微小(因为它们前面的系数是0或者是很小的值,即使去掉对模型也没有什么影响),此时我们就可以只关注系数是非零值的特征。这就是稀疏模型与特征选择的关系。
为什么L1正则化可以产生稀疏模型(L1是怎么让系数等于零的),以及为什么L2正则化可以防止过拟合?
假设有如下带L1正则化的损失函数:
![[公式]](/images/download/1586746495173_16897.png)
其中
是原始的损失函数,加号后面的一项是L1正则化项,α是正则化系数。注意到L1正则化是权值的绝对值之和,
是带有绝对值符号的函数,因此
是不完全可微的。机器学习的任务就是要通过一些方法(比如梯度下降)求出损失函数的最小值。当我们在原始损失函数
后添加L1正则化项时,相当于对
做了一个约束。令
,则
,此时我们的任务变成在L约束下求出
取最小值的解。考虑二维的情况,即只有两个权值w1和w2,此时L=|w1|+|w2|对于梯度下降法,求解
的过程可以画出等值线,同时L1正则化的函数L也可以在w1,w2的二维平面上画出来。如下图:

图中等值线是
的等值线,黑色方形是L函数的图形。在图中,当
等值线与L图形首次相交的地方就是最优解。上图中
与L在L的一个顶点处相交,这个顶点就是最优解。注意到这个顶点的值是(w1,w2)=(0,w)。可以直观想象,因为L函数有很多『突出的角』(二维情况下四个,多维情况下更多),
与这些角接触的机率会远大于与L其它部位接触的机率,而在这些角上,会有很多权值等于0,这就是为什么L1正则化可以产生稀疏模型,进而可以用于特征选择。
而正则化前面的系数α,可以控制L图形的大小。α越小,L的图形越大(上图中的黑色方框);α越大,L的图形就越小,可以小到黑色方框只超出原点范围一点点,这是最优点的值(w1,w2)=(0,w)中的w可以取到很小的值。
假设有如下带L2正则化的损失函数,同样可以画出他们在二维平面上的图形,如下:
![[公式]](/images/download/1586746496209_41578.png)

二维平面下L2正则化的函数图形是个圆,与方形相比,被磨去了棱角。因此
与L相交时使得w1或w2等于零的机率小了许多,这就是为什么L2正则化不具有稀疏性的原因。
拟合过程中通常都倾向于让权值尽可能小,最后构造一个所有参数都比较小的模型。因为一般认为参数值小的模型比较简单,能适应不同的数据集,也在一定程度上避免了过拟合现象。可以设想一下对于一个线性回归方程,若参数很大,那么只要数据偏移一点点,就会对结果造成很大的影响;但如果参数足够小,数据偏移得多一点也不会对结果造成什么影响,专业一点的说法是『抗扰动能力强』。
那为什么L2正则化可以获得值很小的参数?
以线性回归中的梯度下降法为例。假设要求的参数为θ,hθ(x)是我们的假设函数,那么线性回归的代价函数如下:
![[公式]](/images/download/1586746496403_41999.png)
那么在梯度下降法中,最终用于迭代计算参数θ的迭代式为:
![[公式]](/images/download/1586746496473_51263.png)
其中α是learning rate. 上式是没有添加L2正则化项的迭代公式,如果在原始代价函数之后添加L2正则化,则迭代公式会变成下面的样子:
![[公式]](/images/download/1586746496556_90485.png)
其中λ就是正则化参数。从上式可以看到,与未添加L2正则化的迭代公式相比,每一次迭代,
都要先乘以一个小于1的因子,从而使得
不断减小,因此总得来看,
是不断减小的。
最开始也提到L1正则化一定程度上也可以防止过拟合。之前做了解释,当L1的正则化系数很小时,得到的最优解会很小,可以达到和L2正则化类似的效果。
--详细内容请传送至:https://zhuanlan.zhihu.com/p/40394834
-ref:
1.Loss function:损失函数(Loss Function)
3.regulation term: 机器学习中正则化项L1和L2的直观理解 - CSDN
4. Regulation 常用方法:CS231n_lecture7_slides
Feasibility Study on Thermoelectric Conversion to Improve Photovoltaic Operation
Automatic Prompt Optimization with “Gradient Descent” and Beam Search
Affordance-R1: Reinforcement Learning for Generalizable Affordance Reasoning in Multimodal Large Lan
Theory of Evolutionary Computation – Recent Developments in Discrete Optimization