1.DARTS [1]:第一个能work的 end2end 基于梯度反传的 NAS 框架,当然你也可选择ENAS(重点是开源了,而且代码写得易懂,后面几个文章都是基于这个做的)。
2.GDAS [2]:百度出品,提出了可微的operation sampler,故每次只需优化采样到的部分子图,故特点就是一个字:快 (4 GPU hours)。
3.DenseNAS [3]:地平线出品,提出了可以同时搜 block的宽度和空间分辨率的可微分NAS,story讲得还行,实验部分有点虚。
4.P-DARTS [4]:华为出品,致力于解决在proxy训练与target测试的模型depth gap问题,参考李飞飞 PNAS 的思路用在block间。
5.PC-DARTS [5]:华为出品,针对现有DARTS模型训练时需要 large memory and computing问题,提出了 channel sampling 和 edge normalization的技术,故两个字:更快更好 (0.1 GPU-days)。
它们之间的联系:
无疑 [2], [3], [4], [5] 都是基于 DARTS 来进行拓展;[2] 和 [5] 都是希望加快搜索速度,故采取的sampling的策略和目标也不同;[3] 和 [4] 分别就模型 宽度 和 深度 方面进行拓展。更准确地来说,[3] 是针对移动端来做的,更类似应该是 ProxylessNAS, FBNet 。
----------------------------------------------------------
一、DARTS [1],ICLR2019
很早提出的文章,不知道为啥才中的ICLR。
DARTS 思想是直接把整个搜索空间看成supernet,学习如何sample出一个最优的subnet。这里存在的问题是子操作选择的过程是离散不可导,故DARTS 将单一操作子选择 松弛软化为 softmax 的所有操作子权值叠加。
下面来看看它主要做了什么:

由上图得:
(a) 定义的一个cell单元,可看成有向无环图,里面4个node,node之间的edge代表可能的操作(如:3x3 sep 卷积),初始化时unknown
(b) 把搜索空间连续松弛化,每个edge看成是所有子操作的混合(softmax权值叠加)
(c) 联合优化,更新子操作混合概率上的edge超参(即架构搜索任务)和 架构无关的网络参数
(d) 优化完毕后,inference 直接取概率最大的子操作即可
故文章的重点就放在了 (b) 和 (c) 部分,分别可以由下面的一条公式和算法描述表示:

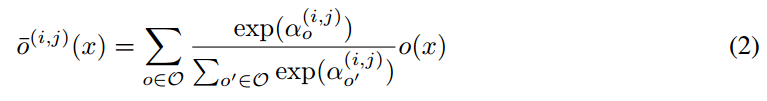
Softmax操作,每对nodes
的子操作混合权重为
,维度为
即node间子操作的总个数;
表示当前子操作。

算法实现上就是轮流更新,在训练集上更新网络参数
,在验证集上更新网络架构超参 ![[公式]](/images/download/1655691251228_54212.png)
--------------------------------------------------------------
二、GDAS [2],CVPR2019
全称叫 Gradient-based search using Differentiable Architecture Sampler (GDAS),顾名思义,是一种 gradient-based 的方法,且使用了可微采样器,那问题来了,为啥要采样呢?
1. 直接在整个supernet更新整图太耗时了,每次iteration都要更新所有参数,比如DARTS,需要耗时一天。
2.同时优化不同的子操作会导致训练不稳定,因为有些子操作会有相反的值,是竞争关系,直接相加不科学。
故文中就提出了采样器来得到sub-graph,这样每次iteration优化更新只针对sub-graph操作即可。
Differentiable Sampler:
那么问题来了,怎么设计这个sampler?如果sampler不可微,怎么进行梯度反传更新呢?
首先对于node
, 从离散概率分布
中采样一个变换函数(即子操作),故在搜索时通过下式计算可得每个node值:

其中
是从离散概率分布
采样得到,
为其参数。离散概率分布可通过下述的可学习概率质量函数表示:

其中
是 K 维可学习 vector
中的第 k 个元素。
由于上述操作不可导,故作者使用 Gumbel-Max trick 来将公式(3)重写为:

将 arg max 松弛软化为softmax形式,就可导了:

定制化Reduction cell:
为了减少搜索空间的大小和减缓联合搜 normal & reduction cell 的优化难度,文中根据专家经验自定义了 reduction cell:

实验结果:
来看看GDAS与DARTS在CIFAR和ImageNet的性能对比:
1.识别率基本与DARTS持平的情况下,搜索时间比它快5倍以上。
2.GDAS(FRC) 是基于上图定制化的reduction cell 来只搜normal cell的,性能更好,参数更少,搜索时间更短。


文中3.2节有一段值得思考的话:
其实文章初衷是设计跑得快的NAS,估计是想用于直接跑target大数据集,比如ImageNet,不过最后发现搜出来的性能堪忧。哈哈,可以思考下why。(花絮,后面PC-DARTS里有句话解释了这个现象)
-----------------------------------------------------------------
三、DenseNAS [3],2019
由于NAS一般需要很强的专家经验来设计中间block的channel数以及何时进行downsampling,故人工设定的可能不是最优的,DenseNAS做的就是让网络通过搜索自行决定渐进的block的宽度及何时downsampling。
如何实现这个功能呢?如下图所示,定义一个密集连接的搜索空间,里面block间的宽度渐渐增加,stride慢慢下降,而每个block有一定概率与同分辨率及stride=2于当前的block进行连接(如灰色连接线所示);由于这一套是基于stack mobile convolution block,故中间不设skip-connect操作, 最后训练完毕后,按照特定算法选择路径(红色实线)即可。

那么问题来了:
1.不同block的宽度和分辨率可能不同,怎么进行连接?
2.block之间多了这么多path,怎么进行端到端梯度反向传播?
文中给出的方案是:
1.如下图所示,Block模块里,针对每个输入的previous block,都有各自的head layers,功能是转化为相同宽度和分辨率的tensor,这样才能权值叠加
2.在layer-level,跟DARTS一样,node之间该怎么反传就怎么反传;在Block-level, 也仿照layer-level 来松弛软化使用softmax来当成多个head layers后的权值叠加。

最后当搜索完成,layer-level直接选择最大概率的子操作即可;对于 Network-level,使用Viterbi algorithm 来选择最高转移概率的block进行连接。
由于本文是做移动端搜索,故latency也作为优化的目标之一:

实验结果:
只在ImageNet搜测了实验结果,感觉亮点不够突出呀。

-----------------------------------------------------------------
四、P-DARTS [4],2019
由于NAS受限于memory和计算消耗,一般都会在proxy集进行较浅的initial channel及layer depth搜索,然后把搜好的模型再扩充较大的channel和depth放到target集上重训重测。
那么问题来了:怎么优化这个 depth gap 问题?

如上图所示,在DARTS中,搜索时候是以 8 cells with 50 epochs 来进行的,而evaluate时却以 20 cells,这bias造成了精度大幅度下降;而 P-DARTS 以渐进的方式 5 cells, 11 cells, 17 cells 分别 25 epochs 来进行,这样更能接近evaluate时的情况,故性能也更好。
OK,你可能会问,为什么不直接以20 cells 来进行搜索呢?好问题,理论上应该是可行的,就是太耗memory且容易网络架构过拟合;那17 cells也很深,memory够吗?这也是好问题,P-DARTS其实就是在解决这个问题:

如上图所示,
(a) cells=5时,每个node间有5个candidate,当训练好了25 epochs后,会有对应的softmax置信度。
(b) 接着进行 cells=11的搜索,虽然深度加了一倍多,但这时每个node间operation candidate将会减少接近一半,即把(a)中最后置信度较低的operation直接delete掉。
(c) 同样的流程,最后进行 cells=17的搜索,再砍掉置信度低的一半opeartion。通过这样的方式来tradeoff depth及memory。
------------------------------------
文中还探讨了另外一个问题,就是搜索空间里skip-connect的影响,从实际效果来看,过多的skip-connect(无可学习参数)会使其表征能力下降,测试时性能欠佳;但往往因为搜索时 skip-connect收敛得更快,故如何设计基于skip-connect的约束项呢?
1. 在每个skip-connect操作后插入operation-level dropout,然后训练时逐渐减少Dropout rate。
2.加个超参 M=2 来限制最后cell内部 skip-connect的最大总数。
实验结果:
来看看在CIFAT上的实验结果,明显在搜索时间和性能上都碾压DARTS了。
不过有趣的是,最后两行(large) 是指将 initial channel 从 36 增加到 64,性能增加;故要不要搞个progressive channel 版本的搜索呢?哈哈

最后我们来看看三个stage的memory消耗情况,尽管已经17 cells了,一个P100还OK:

-----------------------------------------------------------------
五、PC-DARTS [5],2019
接着上面的P-DARTS来看,尽管上面可以在17 cells情况下单卡完成搜索,但妥协牺牲的是operation的数量,这明显不是个优秀的方案,故此文 Partially-Connected DARTS,致力于大规模节省计算量和memory,从而进行快速且大batchsize的搜索。
PC-DARTS的贡献有两点:
1.设计了基于channel的sampling机制,故每次只有小部分1/K channel的node来进行operation search,减少了(K-1)/K 的memory,故batchsize可增大为K倍。
2.为了解决上述channel 采样导致的不稳定性,提出了 edge normalization,在搜索时通过学习edge-level 超参来减少不确定性。(这跟DenseNAS中的head layer权值叠加有点像)

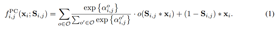
A、部分通道连接:
如上图的上半部分,在所有的通道数K里随机采样 1/K 出来,进行 operation search,然后operation 混合后的结果与剩下的 (K-1)/K 通道数进行 concat,公式表示如下:

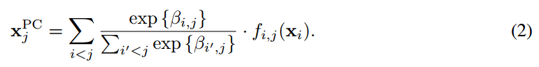
B、边缘正规化:
上述的“部分通道连接”操作会带来一些正负作用:
正作用:能减少operations选择时的biases,弱化无参的子操作(Pooling, Skip-connect)的作用。文中3.3节有这么一句话:当proxy dataset非常难时(即ImageNet),往往一开始都会累积很大权重在weight-free operation,故制约了其在ImageNet上直接搜索的性能。
所以可以解释为啥GDAS直接在ImageNet搜效果不行,看回用GDAS在CIFAR10搜出来的normal cell,确实很多是Skip-connect,恐怕在ImageNet上搜,都是skip-connect。。。
副作用:由于网络架构在不同iterations优化是基于随机采样的channels,故最优的edge连通性将会不稳定。
为了克服这个副作用,提出边缘正规化(见上图的下半部分),即把多个PC后的node输入softmax权值叠加,类attention机制:

由于 edge 超参
在训练阶段是共享的,故学习到的网络更少依赖于不同iterations间的采样到的channels,使得网络搜索过程更稳定。当网络搜索完毕,node间的operation选择由operation-level和edge-level的参数相乘后共同决定。
实验结果:
来看看直接在ImageNet搜出来的结果,只需要 3.8 GPU-days,有点牛逼。
不过对比下,P-DARTS(CIFAR10)的也牛逼,性能和搜索时间很好的tradeoff。

最后的最后,来看个有趣的消融实验:
直接看第二行,加了EN后,普通的DARTS性能也能提升;也就是说EN是可以用到所有的DARTS框架中,这个很不错。

----------------------------------------------------
总结与展望:
小memory,少人工定义的参数(initial channel, layer数啥的就很恶心),更任务相关的search space,架构跨数据集泛化能力。
在各个领域用起来,才能有各种新坑,和各种新的改进。
Reference:
[1] Hanxiao Liu et al., DARTS: DIFFERENTIABLE ARCHITECTURE SEARCH, ICLR2019
[2] Xuanyi Dong et al., Searching for A Robust Neural Architecture in Four GPU Hours, CVPR2019
[3] Jiemin Fang et al. ,Densely Connected Search Space for More Flexible Neural Architecture Search
[4] Xin Chen et al. ,Progressive Differentiable Architecture Search: Bridging the Depth Gap between Search and Evaluation
[5] Yuhui Xu et al. ,PC-DARTS: Partial Channel Connections for Memory-Efficient Differentiable Architecture Search