多智能体强化学习2021论文(一)MAPPO & IPPO
论文标题The Surprising Effectiveness of MAPPO in Cooperative, Multi-Agent Games,原文https://arxiv.org/abs/2103.01955
本文研究了研究了多智能体PPO (MAPPO)算法,一种采用集中值函数的多智能体PPO变体,最后在星际SMAC任务以及多智能体任务中验证了算法效果。这篇文章的研究说明了,即使是最简单的,不进行任何算法或者网络架构变动的PPO算法,只要使用一些技巧,也能在多智能体任务中取得较好的效果。
背景
首先要回顾一篇论文:Is Independent Learning All You Need in the StarCraft Multi-Agent Challenge?
论文地址:https://arxiv.org/abs/2011.09533
这篇文章中提到,可以直接将PPO算法应用到SMAC任务中,构建一个像IQL一样的IPPO(independent PPO)算法,这样简单的算法也能在部分任务上取得了超越QMIX的效果。
PPO算法:

PPO算法是对TRPO算法的进一步优化,主要使用了重要性采样,和策略更新裁剪等思想。这里用的是带clip的PPO,clip的目的是防止策略更新的幅度太大或者太小。
原文中的PPO还使用了Generalized Advantage Estimation (GAE),使用了GAE后优势函数如下:

其中

GAE的大致想法是对从1步到n步计算出的各个优势函数进行加权,加权计算出的均值为最后的优势函数,这样做可以减小方差。
最后的actor目标函数为:

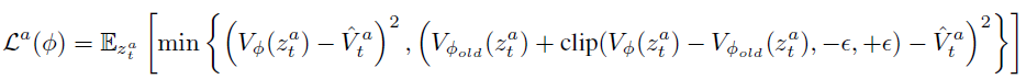
Critic目标函数为:

总体的目标函数为:

其中a为智能体的数量。
IPPO算法将PPO算法扩展到多智能体任务中,每个智能体都独立运行一套PPO算法,这个想法虽然简单,但却很有效。实验结果表明,在一些任务中IPPO能够达到SOTA。

这篇文章认为,PPO的策略裁剪机制在SMAC任务中非常有效。PPO算法的稳定性更好,因此在多智能体系统非稳态的环境中,IPPO的学习稳定性优于IAC(independent actor-critic)和IQL(independent q-learning),所以性能更好。
同时,在部分SMAC的任务中,智能体是完全协作的,引入中心化的机制未必会让性能提升。
对于QMIX等中心化的算法来说,尚不清楚全局信息state起作用的机制。
算法
IPPO算法说明了将PPO应用到多智能体系统中是十分有效的。本文则更进一步,将IPPO算法扩展为MAPPO。区别是PPO的critic部分使用全局状态state而不是observation作为输入。
同时,文章还提供了五个有用的建议:
1.Value normalization: 使用PopArt对 value进行normalization。PopArt是一种多任务强化学习的算法,将不同任务的奖励进行处理,只需要训练一个智能体就可以同时解决多种任务。这篇文章认为,使用PopArt是有帮助的。
2.Agent Specific Global State: 采用 agent-specific 的全局信息,直接使用各个智能体observation联合起来可能会导致维度过高,而使用state又可能导致丢失信息。本文使用了一种特殊的state,包含了更多的信息。本文作者认为SMAC中原有的全局state存在信息遗漏,其所包含的信息甚至少于agent的局部观测量,这也是直接将MAPPO应用在 StarCraftII中性能表现不佳的重要原因。
3.Training Data Usage: 防止同一份数据训练次数过多。简单任务中推荐使用 15 training epochs,而对于较难的任务,尝试 10 或者 5 training epochs。除此之外,尽量使用一整份的训练数据,而不要切成很多小份的mini-batch训练。
4.Action Masking: 在多智能体任务中经常出现 agent 无法执行某些 action 的情况,建议无论前向执行还是反向传播时,都应将这些无效动作屏蔽掉,使其不参与动作概率计算。
5.Death Masking: 在多智能体任务中,也经常会出现agent死亡的情况。当 agent 死亡后,应当仅保留其 agent id,将其他信息屏蔽。
实验
首先是消融实验,验证改进后的熵的有效性。
采用了这五条建议之后,MAPPO算法的效果能够超越QMIX,和SOTA算法RODE相比。

同时也做了消融实验,验证了这五条建议的有效性:


论文标题RODE: Learning Roles to Decompose Multi-Agent Tasks,原文https://arxiv.org/abs/2010.01523,发表于ICLR 2021。
本文提出了一种基于角色的多智能体强化学习方法,用一个角色选择器将联合动作空间分解为有限的动作行动空间,对应不同的角色。智能体在进行决策的时候策略分为两层,先选角色,再根据角色来选策略。通过分角色和分层,可以解决多智能体环境下联合动作状态空间过大的问题。本文在SMAC环境下进行实验,大多数场景下都达到了SOTA,同时做了消融实验,验证模块有效。
背景
Dec-POMDP,CTDE框架,QMIX、MAVEN等value-based的值分解算法。
另外,有几篇有类似思想的相关论文。
ROMA:用互信息来分角色学习。https://zhuanlan.zhihu.com/p/261383886
ASN:手动划分动作和观测空间。https://zhuanlan.zhihu.com/p/199072017
算法
首先定义了角色和子任务的概念:

所有角色的动作空间的并集,就是原始的动作空间。
算法的网络图如下所示:

一共分为三个部分,a是学习动作表示,b是角色选择器,c是每个角色的决策。
首先是第一部分,学习一种新的动作表示方式,即一个动作编码器:

,能将原始的one-hot动作映射到d维的新动作空间上

。
学习动作编码器是为了方便后续的动作分解。新的动作表示应当与原始的动作表示效果相同,即能生成相同的状态和奖励。损失函数如下所示:

z是新的状态表示。p是一个能表示状态转移函数的网络,能根据z来预测下一时刻的观测量和奖励。这里采用监督学习的方式,将预测值和真实值做差,求loss。最小化这个loss,就说明使用z和使用原始的动作能达到相同的效果。
在学习了新动作表示z之后,再对z进行聚类。本文是采用K-means方法进行聚类的。设置k个角色,用与环境交互生成的样本进行聚类,将聚到一类的动作组成同一角色的动作空间。同时角色是动态变化的,每隔一定时间步后会重新进行聚类。
然后智能体就可以进行决策了。这里采用了分层的方式,降低了决策粒度。上层是网络图中的b模块,下层是图中的c模块。上层为智能体选择合适的角色,下层根据角色去为智能体选择动作。
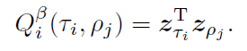
上层的动作数是角色的数量。这里使用了DQN算法。同时为了强调z的作用,使用如下方式将z的信息编码入Q值中:

这里的

是对智能体j能执行的动作求一个平均。
之后计算点积:

其中

是根据状态动作历史求出的普通的q值。
然后,使用QMIX算法的思想,将所有智能体的q值拟合为总体的q值,用总q值求loss。

下层是为每个角色选动作,动作空间是聚类后的角色动作空间。同样算法是用DQN,思想与上层的方法类似。


实验
首先是验证学习到的新动作表示是否有效。

可以看到对z聚类后的结果,和原始的动作是能够对应的。
接着在SMAC的复杂任务下进行测试,达到了SOTA水平。

最后用消融实验验证了添加的模块有效。

论文标题Value-Decomposition Multi-Agent Actor-Critics,原文https://arxiv.org/abs/2007.12306,发表于AAAI 2021。
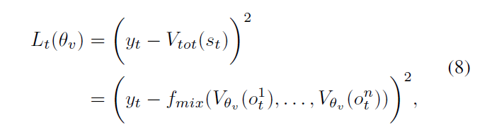
本文将QMIX中的值分解思想扩展到policy-based的论算法里面,提出了一种actor-critic架构的对V值分解方法VDAC。证明了VDAC的收敛性。在SMAC上与COMA、IAC等算法比对,同时做了消融实验验证模块有效。
背景
协作式多智能体任务,Dec-POMDP,CTDE框架,VDN、QMIX等value-based的值分解算法。COMA、MADDPG等policy-based的MARL方法。
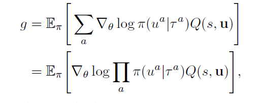
总体上来看,对于policy-based的多智能体算法,梯度是:

算法
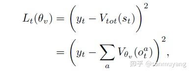
首先提出了一种朴素的多智能体ac(naive central critic)算法。使用td-error来进行梯度更新。

然后对这里的V进行分解(Value Decomposition Actor-Critic),和VDN、QMIX类似。

对应的两种分解方法,线性分解和单调分解:

对应的两种loss:


然后证明了一下算法的收敛性。简单来说,就是证明作为baseline的V梯度是0。由于V和动作无关,所以可以得出:

这就和单智能体的情况一样了。因此剩下的梯度是:

实验
都是SMAC中简单地图的实验。

几个消融实验,分别验证使用td-error,使用mixing net等模块的有效性。




论文标题Cooperative Exploration for Multi-Agent Deep Reinforcement Learning,原文http://proceedings.mlr.press/v139/liu21j/liu21j.pdf,发表于ICML 2021。
本文提出了一种新的多智能体探索算法,将高维的状态空间投影到低维的受限状态空间,从受限空间中选择目标,并训练探索策略来实现目标,并且根据目标重塑的奖励函数。最后在MPE、SMAC等环境中展开实验,与QMIX、EITI、EDTI等算法比对,同时做了消融实验验证模块有效。
背景
多智能体强化学习,Dec-POMDP和CTDE,VDN、QMIX等value-based的值分解算法。
EITI和EDTI两篇多智能体探索的算法,可见https://zhuanlan.zhihu.com/p/317863684
算法
智能体的策略分为探索策略μ和目标策略π两个部分,目标策略用来最大化return,探索策略用来从未被探索的状态中收集数据。采样的时候使用

的形式结合两种策略来进行采样。算法的整体框架如下所示:

其中目标策略是使用buffer中的数据正常更新的。
而探索目标则是使用另一套更新方式,当状态达到共享目标g时,为奖励函数加上额外的奖励。

共享目标g是一种鼓励探索的设置,如果状态为g,说明探索做得比较好。
本文的一个重点是求g。由于多智能体的环境复杂,状态空间较大,所以需要先将普通的状态空间投影到受限状态空间,将高维状态空间投影到低维空间:

Sk就是求得的受限空间,projk是投影函数,k是受限状态空间中受限状态的个数。
这里使用了一个计数器c来计算在受限状态空间中一个特定的受限状态出现的次数(c越小,表示探索得越多)。现在,g的计算方式为:


另一个问题是如何求出好的受限状态空间,实际上是要求出最佳的k,即k*。本文使用了树

来存储受限状态空间。在树中,每个受限状态空间有一个u值,每次根据u值softmax采样,来选出受限状态空间。
u值是用c来算出来的,先求得一个分布:

再求出一个标准熵:

u值是它的相反数

u值越大,所对应的受限状态空间的探索能力越好。
根据u求出最好的k。

这一部分的流程为:

最后是受限状态空间树的扩展。每隔一段episode,空间树就会被扩展,算法流程为:


实验
MPE中的实验,分为稀疏奖励和稠密奖励。

SMAC中的实验:

消融实验

论文标题QPLEX: Duplex Dueling Multi-agent Q-learning,原文https://arxiv.org/abs/2008.01062,发表于ICLR 2021。
本文提出了一种新的MARL方法,称为双Dueling多智能体q学习(QPLEX),采用双Dueling网络结构来分解联合值函数。这种双Dueling结构将IGM原理转化为了易于实现的优势函数约束,从而实现高效的值函数学习。在SMAC等环境中展开实验,取得了良好的效果。
背景
多智能体强化学习,Dec-POMDP和CTDE,VDN、QMIX、QTRAN、WQMIX等多智能体值分解算法。
在值分解方法中,为了满足IGM条件(QTRAN论文提出,联合Q值取最优时的联合动作与单个智能体的Q值取最优的局部动作一致),VDN有单调性约束,QMIX有可加性约束:

这些约束限制了联合值函数的表达能力,在一些复杂任务中,可能会无法求出最优解。
算法
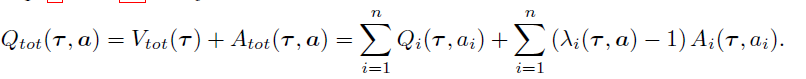
引入了dueling DQN的思想,将Q表示为V和Advantage加和的形式。

那么,由于V和动作无关,对于Q的IGM条件就转化为了对于A的IGM条件:

对于Q的IGM和对于A的IGM是等价的。

所以,本文中的联合Q值不是直接计算出来的,而是通过联合V和联合A的加和计算得来的。也就是将联合Q的分解变为了对联合V和联合A的分解。
算法的框架图:

值得注意的是,这里计算tot的联合值时没有像QMIX那样使用mixing net,而是使用了transform,用多头注意力机制来计算各个值的权重:

其中:

当然,还是要保证这个权重值大于0。
最后,联合Q值可以推导成:

其中的前一项,就是VDN中的线性加和。后一项可以当作对VDN的修正。因此,QPLEX算法比VDN等算法拥有更强的表示能力。
实验
矩阵游戏实验。QMIX无法解决的问题,QPLEX可以解决。

SMAC中的实验,分为online和offline两个部分。offline的数据是由QMIX跑出来的。


论文标题 Episodic Multi-agent Reinforcement Learning with Curiosity-driven Exploration,原文https://arxiv.org/abs/2111.11032,发表于NeurIPS 2021。
本文在MARL中提出了一种用于MARL的基于预测的好奇心内在奖励,以及结合了Episodic Memory技术,提高了多智能体的探索效率。在单智能体的Q值上使用状态预测内在奖励,在联合Q上用Episodic Memory Deep Q-Networks来加强约束。最后在Predator Prey、SMAC等环境下进行实验和消融实验,验证了算法的效果。
背景
多智能体强化学习,Dec-POMDP和CTDE等内容。可以参考本专栏之前的一系列文章。
除此之外,本文还用到了两项技术。一个是基于状态预测的好奇心内在奖励。好奇心驱动是使用内在奖励鼓励agent探索更陌生的状态。其中一类方法是基于状态预测误差的方法,将预测值与真值的距离作为内在奖励,可以鼓励探索。 (预测某一个状态时,如果对该状态的了解很少,误差就会高,从而驱使智能体对该状态进行探索。)
这一部分的知识,可以参考论文ICM (Curiosity-driven exploration
by self-supervised prediction)和RND(Exploration by random network distillation)
本文用到的另一项技术是Episodic Memory ,主要用到了Model-Free Episodic Control和EMDQN(Episodic Memory Deep Q-Networks)这两篇论文中的知识。
这一部分可以参考https://zhuanlan.zhihu.com/p/146191426。
简单来说,就是采样后存储状态动作对(s,a)的最高累积奖励:

每次采样后都更新状态和动作的最高累加奖励,用H记录下来。之后用H去辅助Q值的训练。

这样可以提升Q值训练的效率。
算法
框架图:

总体上,还是用了值分解的思路,每个智能体都求一个局部Q,局部Q加和就是联合Q(这里可以使用VDN 、QMIX、 QPLEX等方法去算联合Q值,都可以与本文的算法结合)。
针对于局部Q,使用了一个预测器去预测其值,然后算预测值和实际值的误差,当作内在奖励。

内在奖励会加到reward里面,帮助算td-error:


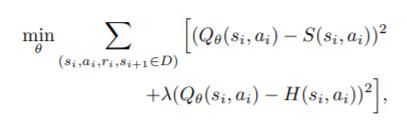
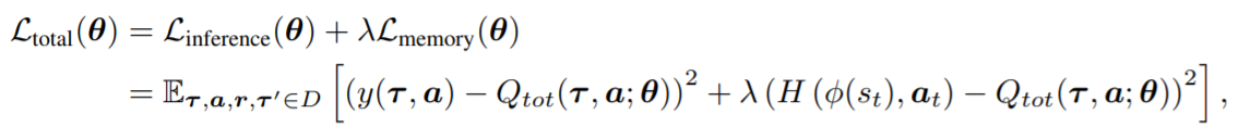
另外就是episodic memory的部分,这一部分是用联合Q值Qtot算的。H值计算方式如下:


最后的损失函数是:

实验
gridworld game测试了各种算法加上EMC的效果:

捕食者-猎物环境:

SMAC环境:

消融实验,分别测了一下两个模块的有效性:

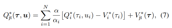
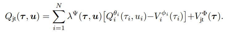
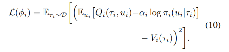
论文标题 FOP: Factorizing Optimal Joint Policy of Maximum-Entropy Multi-Agent Reinforcement Learning,原文http://proceedings.mlr.press/v139/zhang21m/zhang21m.pdf,发表于ICML 2021。
本文提出的方法属于分解的方法,对最大熵多智能体强化学习进行分解,将联合策略分解为局部策略,并证明了其收敛性。最后在matrix game、MTQ game、SMAC等环境下进行实验和消融实验,验证了算法的效果。
背景
多智能体强化学习,Dec-POMDP和CTDE等内容。参考之前的文章。
值分解方法,VDN、QMIX、QTRAN等算法,IGM条件和各种值分解方法的约束条件等内容。
除此之外,本文主要用到最大熵强化学习的思想,需要了解soft q-earning 和soft actor-critic等算法的思想。可以参考文章https://zhuanlan.zhihu.com/p/70360272。
简单来说,SAC属于最大熵强化学习,优化目标不仅包含reward,还包含策略的熵。最大化策略的熵值,可以使策略更随机,能够加强探索能力和策略的鲁棒性。
算法
本文提出的方法是policy-based的方法,但是仍然采用了值分解的思想,只不过分解的是联合policy。
对应IGM条件,本文提出了IGO(Individual-Global-Optimal)条件:

联合策略等于所有局部策略的乘积,同样,当所有局部策略取到最优,联合策略取到最优。IGO条件可以看作是IGM条件扩展到policy-based的算法上。
本文提出的FOP算法的思想很简单,就是将多智能体的联合SAC分解为局部的SAC。
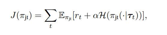
联合SAC的优化目标是:

联合策略由贝尔曼方程得出:

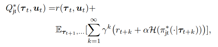
最优联合Q为:

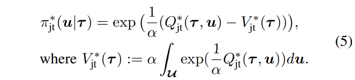
最优联合策略为:

同样地,对于每一个智能体,最优局部策略为:

将这几个式子带入IGO条件的公式(4),可以得到:

α和αi都是SAC中的温度参数。
之后证明了收敛性(不过论文里没有找到补充材料)。



算法的整体框架如下所示:

主要是局部Q,局部V,联合V,权重网络,局部策略网络等几个网络。
权值网络是计算温度参数,即:

局部Q,局部V,联合V,策略网络都是用soft方式计算的,FOP对联合Q进行分解:

局部Q,联合V,和权值网络由td-error优化:

局部V是由下式优化的:

最后是策略网络,和SAC类似,可以通过优化KL散度来优化策略:

由于V中没有对策略的梯度,最后可以写成:

实验
非单调矩阵游戏的实验:

The Max of Two Quadratic Game (MTQ)上的实验:

SMAC上的实验:

消融实验,在矩阵游戏上对温度参数的消融:

在MTQ上不同退火方式消融:

论文标题 FACMAC: Factored Multi-Agent Centralised Policy Gradients,原文https://arxiv.org/abs/2003.06709,发表于NeurIPS 2021。
本文提出一种对MADDPG的改进算法FACMAC,将QMIX等论文的值分解思想引入到actor-critic算法的critic中,对critic的Q值进行分解,与QMIX等论文不同的是,这里的分解没有单调性约束。同时,FACMAC使用了一个集中式的策略梯度估计器,计算梯度时对所有智能体的策略求梯度,而不是对单个智能体的策略求梯度。实验部分在连续环境MPE、Multi-agent MuJoCo,以及离散环境SMAC下进行实验和消融实验,验证了算法的效果。
背景
多智能体强化学习,Dec-POMDP和CTDE等内容。可以参考本专栏之前的一系列文章。
值分解方法,VDN、QMIX、QTRAN等算法,IGM条件等内容。
MADDPG算法,论文原文https://arxiv.org/abs/1706.02275,可以参考专栏https://zhuanlan.zhihu.com/p/53811876的讲解。
在MADDPG中,每个智能体的策略更新方式如下:

x是智能体observation的集合。所以在MADDPG中,每个智能体学习一个中心化的Q,然后用这个Q取指导策略的更新。
算法
本文的思想比较简单,就是对MADDPG做了两点改进。首先是引入VDN、QMIX等论文的值分解思想,不再直接计算Q,而是由局部Q拟合出Q_tot。

更新方式也和值分解方法相同:


FACMAC将值分解的思想引入到multi-agent actor-critic架构下,类似的想法在DOP(https://arxiv.org/abs/2007.12322)和VDAC( https://arxiv.org/abs/2007.12306)等论文中也出现过。
在智能体数量增多时,值分解的Q避免了维度爆炸的问题,效率更高。
另外,由于策略是由policy网络求出的,不需要贪心地根据Q来选择动作,自然就不需要满足IGM条件。所以这里对Q的分解不需要满足单调性假设,算法在解决非单调任务时效果更好。
FACMAC的另一点改进是计算梯度的方式,即使用centralised policy gradient (CPG)。MADPPG中,更新policy时,对于智能体i,Q的输入包含有所有智能体的动作,其中只有智能体i的动作是由policy算出的,其他智能体的动作都是存储在buffer中的动作。更新时只更新智能体i的策略梯度

而FACMAC中Q输入的所有的动作都是由策略算出的,更新policy时直接计算所有智能体的策略梯度:


文章举了一个具体的例子来说明使用CPG的好处,对于一个连续动作的矩阵游戏:

如果固定一个智能体的策略,只看对一个另智能体策略的梯度,那梯度就是0,同时看对两个智能体策略的梯度才是准确的。

后续也会在消融实验中验证这一做法的效果。
实验
本文认为MPE的环境过于简单,提出了MAMuJoCo环境,就是MuJoCo中机器人的不同关节交由不同智能体进行控制。

在连续动作的环境里面,值分解方法无法直接使用,作者提出了COVDN和COMIX算法,将VDN和QMIX算法扩展到连续动作环境,选取动作时使用the cross-entropy method (CEM)来根据Q值选动作。
在MPE和MAMuJoCo环境中的实验结果如下:

同时也在离散环境SMAC中做了实验,和MADDPG类似,FACMAC使用Gumbel-Softmax estimator来使动作离散化。对比一系列值分解的方法:

消融实验分两个部分,验证CPG的效果:

验证Q分解以及非单调分解的效果:

Brain-Computer Interface Smashes Previous Record for Typing Speed