
论文:https://www.paperweekly.site/papers/3212
源码:xiangwang1223/neural_graph_collaborative_filtering
协同过滤作为一种经典的推荐算法在推荐领域有举足轻重的地位。协同过滤(collaborative filtering)的基本假设是相似的用户会对物品展现出相似的偏好。
总的来说,协同过滤模型主要包含两个关键部分:1)embedding,即如何将 user 和 item 转化为向量表示;2)interaction modeling,即如何基于 user 和 item 的表示来重建它们的历史交互。
传统协同过滤算法(如经典的矩阵分解和神经矩阵分解)本质还是给 user 和 item 初始化一个 embedding,然后利用交互信息来优化模型。它们并没有把交互信息编码进 embedding 中,所以这些 embedding 都是次优的。
直观地理解,如果能将 user-item 的交互信息编码进 embedding 中,将提升 embedding 的表示能力进而提升模型的预测能力。本文的主要创新点在于利用二部图神经网络将 User-Item 的历史交互信息编码进 Embedding 进而提升推荐效果。更重要的是,本文显式地考虑 User-Item 之间的高阶连接性来进一步提升 embedding 的表示能力。

图 1 展示了一个 user-item 的二部图及
的高阶连接性。
的高阶连接性表示
通过长度大于 1 的路径连接到的节点。例如,
通过长度 l=2 的路径连接到
和
,这代表
的 2 阶连接性;
通过长度 l=3 的路径连接到
,这代表
的 3 阶连接性。需要注意的是,虽然
和
都是
的 3 阶邻居,但是
可以通过更多的路径连接到
,所以
与
的相似度更高。
模型主要分为 3 个部分:1)Embedding Layer:将 user 和 item 的 ID 映射为向量表示;2)Embedding Propagation Layers:将初始的 user 和 item 表示基于图神经网络来更新;3)Prediction:基于更新后的 user 和 item 表示来进行预测。模型架构图见 Figure 2。

Embedding Layer
这里对 User 和 Item 分别初始化相应的 Embedding Matrix,然后通过 User 或者 Item 的 ID 进行 Embedding Lookup 将它们映射到一个向量表示。

注意,这里初始化的 Embedding 可以认为是 0 阶表示,即:

Embedding Propagation Layers
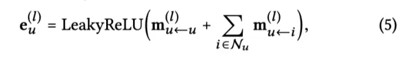
受 GNN 的 message-passing 架构的启发,NGCF 针对 User-Item 二部交互图设计了 Embedding Propagation 来学习 User 和 Item 的表示。这里作者首先详细的描述了一阶传播,然后泛化到高阶传播。
一阶传播主要包含:消息构建和消息聚合。给定(u,i),从 i 传播到 u 的消息
可以定义为:


其中,
都是可学习的参数矩阵,
和
分别代表 u 和 i 的度。这里
可以理解为归一化系数。
基于上面构建的消息,下一步就是聚合消息来更新节点表示:

其中,
代表经过 1 次聚合之后的节点表示。因为单层的消息聚合只能聚合 1 阶邻居的信息,所以这里实际代表了 u 的一阶表示。需要注意的是,这里除了聚合邻居的信息,更重要的是考虑节点自身的信息
。
高阶传播实际就是将上述的一阶传播堆叠多层。这样经过 l 次聚合,每个节点都会融合其 l 阶邻居的信息,也就得到了节点的 l 阶表示
。

Figure 3 清晰地展示了如何在高阶传播中融合高阶邻居的信息。

上面的传播过程也可以写成矩阵的形式,这样在代码实现的时候可以高效的对节点 Embedding 进行更新。


其中,
是 l 阶的 user 和 item 的表示,
是 user-item 交互矩阵,D 是对角度矩阵。
Model Prediction
模型的预测非常简单,将 L 阶的节点表示分别拼接起来作为最终的节点表示,然后通过内积进行预测。


实际这里采用了类似 18 ICML Representation Learning on Graphs with Jumping Knowledge Networks 的做法来防止 GNN 中的过平滑问题。GNN 的过平滑问题是指,随着 GNN 层数增加,GNN 所学习的 Embedding 变得没有区分度。过平滑问题与本文要捕获的高阶连接性有一定的冲突,所以这里需要在克服过平滑问题。
最终的损失函数就是经典的 BPR 损失函数:

本文在 Gowalla、Yelp2018 和 Amazon-Book 上进行了大量实验来回答以下 3 个问题:

本文的 baseline 主要可以分为两大类:非图神经网络的推荐算法(如 MF 和 CMN)和基于图神经网络的推荐算法(PinSage 和 GC-MC)。实验效果如 Table 2 所示:

可以看出,本文所提出的 NGCF 优势很明显,尤其是在 recall 上的提升均超过 10%。同时,作者还对数据进行了稀疏化并进一步验证来说明 NGCF 来稀疏数据上的优势。

从 Figure 4 可以看出,NGCF 在数据稀疏度较高的时候有明显优势,随着稀疏度的下降,NGCF 的优势越来越小甚至被 baseline 超过了。
另外,作者验证了模型层数、卷积形式和 dropout 对 NGCF 的影响,具体见 Table 3、Table 4 和 Figure 5。



最后,作者研究了高阶连接性对 NGCF 的影响,如 Figure 6 所示。

注意这里 MF 可以看做是 NGCF-0。可以看出,随着阶数的增加,相同颜色的节点更好的聚集在一起。也就是说,高阶连接性确实有助于学习 User 和 Item 的 Embedding。
本文提出了基于图神经网络的协同过滤算法 NGCF,它可以显式地将 User-Item 的高阶交互编码进 Embedding 中来提升 Embedding 的表示能力进而提升整个推荐效果。NGCF 的关键就在于 Embedding Propagation Layer 来学习 User 和 Item 的 Embedding,后面的预测部分只是简单的内积。可以说,NGCF 较好地解决了协同过滤算法的第一个核心问题。另外,本文的 Embedding Propagation 实际上没有考虑邻居的重要性,如果可以像 Graph Attention Network 在传播聚合过程中考虑邻居重要性的差异,NGCF 的效果应该可以进一步提升。
[1] http://staff.ustc.edu.cn/~hexn/slides/sigir19-ngcf-slides.pdf
[2] https://github.com/xiangwang1223/neural_graph_collaborative_filtering

论文:https://www.paperweekly.site/papers/3212
源码:xiangwang1223/neural_graph_collaborative_filtering
协同过滤作为一种经典的推荐算法在推荐领域有举足轻重的地位。协同过滤(collaborative filtering)的基本假设是相似的用户会对物品展现出相似的偏好。
总的来说,协同过滤模型主要包含两个关键部分:1)embedding,即如何将 user 和 item 转化为向量表示;2)interaction modeling,即如何基于 user 和 item 的表示来重建它们的历史交互。
传统协同过滤算法(如经典的矩阵分解和神经矩阵分解)本质还是给 user 和 item 初始化一个 embedding,然后利用交互信息来优化模型。它们并没有把交互信息编码进 embedding 中,所以这些 embedding 都是次优的。
直观地理解,如果能将 user-item 的交互信息编码进 embedding 中,将提升 embedding 的表示能力进而提升模型的预测能力。本文的主要创新点在于利用二部图神经网络将 User-Item 的历史交互信息编码进 Embedding 进而提升推荐效果。更重要的是,本文显式地考虑 User-Item 之间的高阶连接性来进一步提升 embedding 的表示能力。

图 1 展示了一个 user-item 的二部图及
的高阶连接性。
的高阶连接性表示
通过长度大于 1 的路径连接到的节点。例如,
通过长度 l=2 的路径连接到
和
,这代表
的 2 阶连接性;
通过长度 l=3 的路径连接到
,这代表
的 3 阶连接性。需要注意的是,虽然
和
都是
的 3 阶邻居,但是
可以通过更多的路径连接到
,所以
与
的相似度更高。
模型主要分为 3 个部分:1)Embedding Layer:将 user 和 item 的 ID 映射为向量表示;2)Embedding Propagation Layers:将初始的 user 和 item 表示基于图神经网络来更新;3)Prediction:基于更新后的 user 和 item 表示来进行预测。模型架构图见 Figure 2。

Embedding Layer
这里对 User 和 Item 分别初始化相应的 Embedding Matrix,然后通过 User 或者 Item 的 ID 进行 Embedding Lookup 将它们映射到一个向量表示。

注意,这里初始化的 Embedding 可以认为是 0 阶表示,即:

Embedding Propagation Layers
受 GNN 的 message-passing 架构的启发,NGCF 针对 User-Item 二部交互图设计了 Embedding Propagation 来学习 User 和 Item 的表示。这里作者首先详细的描述了一阶传播,然后泛化到高阶传播。
一阶传播主要包含:消息构建和消息聚合。给定(u,i),从 i 传播到 u 的消息
可以定义为:


其中,
都是可学习的参数矩阵,
和
分别代表 u 和 i 的度。这里
可以理解为归一化系数。
基于上面构建的消息,下一步就是聚合消息来更新节点表示:

其中,
代表经过 1 次聚合之后的节点表示。因为单层的消息聚合只能聚合 1 阶邻居的信息,所以这里实际代表了 u 的一阶表示。需要注意的是,这里除了聚合邻居的信息,更重要的是考虑节点自身的信息
。
高阶传播实际就是将上述的一阶传播堆叠多层。这样经过 l 次聚合,每个节点都会融合其 l 阶邻居的信息,也就得到了节点的 l 阶表示
。

Figure 3 清晰地展示了如何在高阶传播中融合高阶邻居的信息。

上面的传播过程也可以写成矩阵的形式,这样在代码实现的时候可以高效的对节点 Embedding 进行更新。


其中,
是 l 阶的 user 和 item 的表示,
是 user-item 交互矩阵,D 是对角度矩阵。
Model Prediction
模型的预测非常简单,将 L 阶的节点表示分别拼接起来作为最终的节点表示,然后通过内积进行预测。


实际这里采用了类似 18 ICML Representation Learning on Graphs with Jumping Knowledge Networks 的做法来防止 GNN 中的过平滑问题。GNN 的过平滑问题是指,随着 GNN 层数增加,GNN 所学习的 Embedding 变得没有区分度。过平滑问题与本文要捕获的高阶连接性有一定的冲突,所以这里需要在克服过平滑问题。
最终的损失函数就是经典的 BPR 损失函数:

本文在 Gowalla、Yelp2018 和 Amazon-Book 上进行了大量实验来回答以下 3 个问题:

本文的 baseline 主要可以分为两大类:非图神经网络的推荐算法(如 MF 和 CMN)和基于图神经网络的推荐算法(PinSage 和 GC-MC)。实验效果如 Table 2 所示:

可以看出,本文所提出的 NGCF 优势很明显,尤其是在 recall 上的提升均超过 10%。同时,作者还对数据进行了稀疏化并进一步验证来说明 NGCF 来稀疏数据上的优势。

从 Figure 4 可以看出,NGCF 在数据稀疏度较高的时候有明显优势,随着稀疏度的下降,NGCF 的优势越来越小甚至被 baseline 超过了。
另外,作者验证了模型层数、卷积形式和 dropout 对 NGCF 的影响,具体见 Table 3、Table 4 和 Figure 5。



最后,作者研究了高阶连接性对 NGCF 的影响,如 Figure 6 所示。

注意这里 MF 可以看做是 NGCF-0。可以看出,随着阶数的增加,相同颜色的节点更好的聚集在一起。也就是说,高阶连接性确实有助于学习 User 和 Item 的 Embedding。
本文提出了基于图神经网络的协同过滤算法 NGCF,它可以显式地将 User-Item 的高阶交互编码进 Embedding 中来提升 Embedding 的表示能力进而提升整个推荐效果。NGCF 的关键就在于 Embedding Propagation Layer 来学习 User 和 Item 的 Embedding,后面的预测部分只是简单的内积。可以说,NGCF 较好地解决了协同过滤算法的第一个核心问题。另外,本文的 Embedding Propagation 实际上没有考虑邻居的重要性,如果可以像 Graph Attention Network 在传播聚合过程中考虑邻居重要性的差异,NGCF 的效果应该可以进一步提升。
[1] http://staff.ustc.edu.cn/~hexn/slides/sigir19-ngcf-slides.pdf
[2] https://github.com/xiangwang1223/neural_graph_collaborative_filtering